松川735H-2C-F-C-12VDC直流电压两组转换大功率电磁继电器电源用
松川735H-2C-F-C-12VDC直流电压两组转换大功率电磁继电器电源用
产品价格:¥1.45(人民币)
  • 规格:835-1A-B-C-12VDC
  • 发货地:广东深圳
  • 品牌:
  • 最小起订量:1
  • 免费会员
    会员级别:试用会员
    认证类型:企业认证
    企业证件:通过认证

    商铺名称:深圳市永信海电子科技有限公司

    联系人:(先生)

    联系手机:

    固定电话:

    企业邮箱:mengfanwei@zrtkj.com

    联系地址:

    邮编:

    联系我时,请说是在新型建材网上看到的,谢谢!

    商品详情
      产品参数
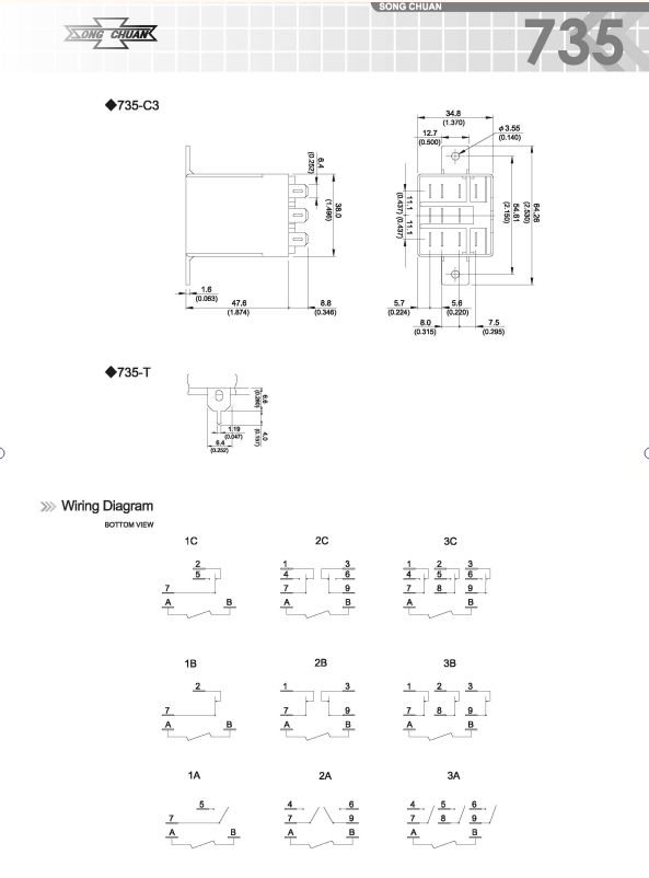
      型号735H-2C-F-C-12VDC
      系列735
      包装盒装
      零件状态在售
      安装类型DIP
      电路2H
      输出类型DC
      输入电压250VAC
      电压-负载DC12V
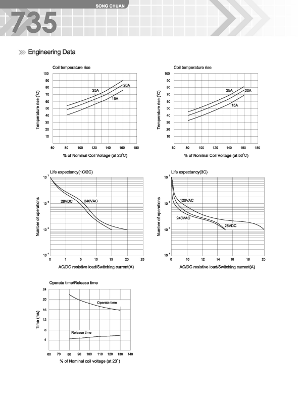
      负载电流25A
      颜色透明
      数量1000
      封装DIP
      批号2022
      线圈电压12V
      品牌松川
























      20A/25A通用功率继电器。
      触点形式有SPDT、DPDT、TPDT。
      提供交流或直流控制线圈。
      提供多种附加功能选择,法兰安装外盖、有防旋转凸的带螺纹铁心、指示灯、测试按钮、PCB用引出端等。
      符合RoHS 2011/65/EU指令。

    0571-87774297